Hello,Young Man!

  • 无法显示

    引物设计

    精心的引物设计能够显著增加PCR的成功率。PCR引物长度一般在18-26bp,Tm在55-58℃,3'端优选SWS三联体...

    Let's Go
  • 无法显示

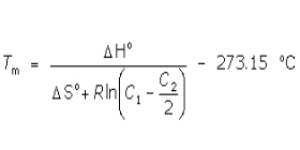
    引物Tm计算

    传统的Tm=2×(A+T)+4×(G+C)公式并不准确,本工具考虑了离子浓度、添加剂校正,Tm更加准确。

    Let's Go
  • 无法显示

    核酸 ⇌ 蛋白

    核酸序列与蛋白质序列的相互转化,提供密码子分析和蛋白质理化性质预测...


    Let's Go
  • 无法显示

    全基因合成

    使用59bp以内的引物快速“拼接”出目标基因的全长序列,提供密码子优化和实验方案设计...

    Let's Go
  • 伯远生物

    传统克隆

    基于酶切-连接反应的基因克隆,提供引物设计,酶切位点选择,实验方案设计...


    Let's Go
  • 伯远生物

    Golden Gate克隆

    IIS型内切酶切割位点位于识别位点外侧,酶切后原来的识别位点将不复存在,酶切连接可以在一步反应中完成...

    Let's Go
  • 伯远生物

    Gibson克隆

    基于同源重组的单/多片段一步法克隆,提供引物设计,DNA用量计算...


    Let's Go
  • 伯远生物

    定点突变

    1-5个不连续位点的一步法定点突变,适用于酶蛋白突变体构建及体外基因编辑...


    Let's Go